I principali metodi di valutazione aziendale
Che cos’è e a cosa serve
FTA Online News, Milano, 04 Mar 2011 - 18:14
La valutazione aziendale consente di calcolare il valore dell’azienda utilizzando e confrontando i metodi più diffusi.
Quali sono i principali metodi?
I principali metodi di valutazione aziendale utilizzati dagli addetti ai lavori sono:
- Multipli di mercato
- Flussi di cassa attualizzati (Dcf)
Principali caratteristiche
Il metodo dei multipli di mercato è basato sul prezzo di attività comparabili (società quotate appartenenti allo stesso settore), applicato ai dati di bilancio quali fatturato, margine operativo lordo (ebitda), risultato operativo lordo (ebit), utile netto, patrimonio netto, posizione finanziaria netta e cash flow. I multipli rappresentano quindi il rapporto tra prezzo (capitalizzazione) e dati di bilancio. Per esempio vengono utilizzati il rapporto prezzo/utile (p/u o p/e) medio di settore, il prezzo/patrimonio netto ecc. Un altro indicatore utilizzato è l’Ev (enterprise value) che è dato dalla somma della capitalizzazione (numero di azioni per il prezzo unitario) e dell’indebitamento finanziario netto. Va da se che nel caso di società con surplus di cassa l’Ev sarà inferiore alla capitalizzazione mentre in caso di società indebitate l’Ev sarà superiore. L’Ev viene rapportato all’ebitda, all’ebit e ai ricavi (sales).
Ecco i principali multipli:
P/E |
Ev/Sales |
P/Sales |
Ev/Ebitda |
P/Cash flow |
Ev/Ebit |
P/PN |
P/Ebitda |
D/E |
Ebitda/Sales |
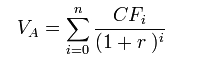
Il metodo dei flussi di cassa è basato sulla determinazione del valore attuale dei flussi di cassa attesi da una specifica attività. Il flusso può essere rappresentato non solo dal cash flow ma anche dai dividendi (Ddm). La valutazione basata sui flussi di cassa attualizzati è funzione di tre elementi fondamentali: l’entità del flusso di cassa, la distribuzione nel tempo dei flussi e il tasso di attualizzazione.

Valore dell’azienda = VA + Pfn + asset
VA= valore n= durata dell’attività r (wacc)= tasso di sconto che riflette il profilo di rischio
Pfn = posizione finanziaria netta asset = valore degli asset non inerenti alla gestione caratteristica
Fatte queste distinzioni va detto che il metodo dei multipli di mercato è il più utilizzato (e il più semplice) mentre il metodo dei flussi di cassa è il più razionale.
L’importanza delle stime
Per tutti e due i metodi di valutazione è fondamentale la determinazione dei risultati economici futuri ossia i dati da inserire nei rispettivi modelli di calcolo. Le proiezioni sono ricavate da: ipotesi di base (macroeconomia, andamento settore di appartenenza, andamento impresa oggetto di valutazione) business plan e piani industriali.
Multipli |
Dcf |
||
Pro |
Contro |
Pro |
Contro |
Semplicità di utilizzo |
Alto grado di soggettività |
Metodo razionale |
Metodologia non applicabile ad aziende con difficoltà economiche |
Rapidità |
Difficoltà a trovare aziende simili per confronto |
Valutazione esauriente |
Per le società non quotate difficile la quantificazione del grado di rischio |
I risultati possono essere differenti tra loro
Le valutazioni ottenute dall’applicazione dei due metodi possono differire anche di molto tra loro. Normalmente gli esperti per calcolare la valutazione finale utilizzano la media (ponderata) dei due metodi.